Preview

Эндокринная хирургия

Расширенный поиск

Качество жизни пациентов с гиперпаратиреозом до и после хирургического лечения

https://doi.org/10.14341/serg12827

Аннотация

ОБОСНОВАНИЕ. Гиперпаратиреоз (ГПТ) — это синдром, характеризующийся избыточным синтезом паратиреоидного гормона (ПТГ), дисбалансом фосфорно-кальциевого обмена и поражением органов-мишеней (костная ткань и почки). Радикальное лечение любого клинического варианта гиперпаратиреоза — хирургическое. В связи с этим оценка качества жизни (КЖ) пациентов до и после операции является показателем, который отражает влияние заболевания на здоровье пациента и эффективность проведенного лечения.

ЦЕЛЬ. Изучить КЖ пациентов с различными клиническими вариантами ГПТ до и после хирургического лечения.

МАТЕРИАЛЫ И МЕТОДЫ. В одноцентровое проспективное исследование включены пациенты, оперированные по поводу первичного (ПГПТ), вторичного (ВГПТ) и третичного гиперпаратиреоза (ТГПТ) в 2019–2021 гг. Изучалось КЖ пациентов и его динамика в зависимости от клинического варианта ГПТ, объема операции и ее исходов и осложнений. Проводилось сравнение дои послеоперационных показателей КЖ в сопоставимой по полу и возрасту выборке жителей Иркутской области.

РЕЗУЛЬТАТЫ. В исследование включены 100 пациентов, из которых 13 — с множественным поражением околощитовидных желез (ОЩЖ), 51 — с солитарным поражением при ПГПТ, 34 — с ВГПТ и 2 — с ТГПТ. Показатели КЖ больных ГПТ до операции статистически значимо ниже, чем в целом в регионе. Наибольшее снижение КЖ выявлено в группе пациентов с множественным поражением ОЩЖ при ПГПТ. Улучшение КЖ достигнуто у 90% исследуемых пациентов. Несмотря на выявленные осложнения, установлено улучшение КЖ после операции в случае достижения ремиссии заболевания. Персистенция заболевания — исход, не позволяющий статистически значимо улучшить КЖ после операции при любом виде ГПТ. Ухудшение КЖ по некоторым показателям обнаружено у 10% пациентов. У пациентов с солитарным поражением ОЩЖ при ПГПТ ухудшение КЖ связано с послеоперационной гипокальциемией на фоне синдрома «голодных костей», а у больных с ВГПТ — со снижением уровня ПТГ ниже популяционных показателей.

ЗАКЛЮЧЕНИЕ. Исследование демонстрирует КЖ пациентов с различными клиническими вариантами ГПТ до и после хирургического лечения. Показана динамика показателей КЖ в зависимости от нозологии, объема, срока, исхода и осложнений операций.

Об авторах

Е. А. Ильичева
ФГБНУ «Иркутский научный центр хирургии и травматологии»; ГБУЗ «Иркутская ордена «Знак почета» областная клиническая больница»
Россия

Ильичева Елена Алексеевна, д.м.н., профессор 

г. Иркутск



Г. А. Берсенев
ФГБНУ «Иркутский научный центр хирургии и травматологии»; ГБУЗ «Иркутская ордена «Знак почета» областная клиническая больница»
Россия

Берсенев Глеб Александрович

г. Иркутск



Т. А. Рой
ФГБНУ «Иркутский научный центр хирургии и травматологии»

Рой Татьяна Аркадьевна

г. Иркутск



Список литературы

1. Мокрышева Н.Г., Еремкина А.К., Ковалева Е.В., и др. Современные проблемы гипери гипопаратиреоза // Терапевтический архив. — 2021. — Т. 93. — №10. — С. 1149-1154. doi: https://doi.org/10.26442/00403660.2021.10.201109

2. Мокрышева Н.Г., Еремкина А.К., Мирная С.С., и др. Клинические рекомендации по первичному гиперпаратиреозу, краткая версия // Проблемы эндокринологии. — 2021. — Т. 67. — №4. — С. 94-124. doi: https://doi.org/10.14341/probl12801

3. Walker MD, Silverberg SJ. Primary hyperparathyroidism. Nat Rev Endocrinol. 2018;14(2):115-125. doi: https://doi.org/10.1038/nrendo.2017.104

4. Мокрышева Н.Г., Мирная С.С., Добрева Е.А., и др. Первичный гиперпаратиреоз в России по данным регистра // Проблемы эндокринологии. — 2019. — Т. 65. — №5. — С. 300-310. doi: https://doi.org/10.14341/probl10126

5. Magnabosco FF, Tavares MR, Montenegro FL. Surgical treatment of secondary hyperparathyroidism: a systematic review of the literature. Arq Bras Endocrinol Metabol. 2014;58(5):562-571

6. Jamal SA, Miller PD. Secondary and Tertiary Hyperparathyroidism. J Clin Densitom. 2013;16(1):64-68. doi: https://doi.org/10.1016/j.jocd.2012.11.012

7. Бикбов Б.Т., Томилина Н.А. Заместительная почечная терапия у пациентов с ТХПН и трансплантацией почки в Российской Федерации, 1998-2011. Отчет Российского реестра СДБ, часть 2 // Нефрология и диализ. — 2014. — Т. 16. — №2. — С. 192-227.

8. Дедов И.И. Эндокринология. Национальное руководство. Краткое издание / Под ред. Дедова И.И., Мельниченко Г.А. — М.: ГЭОТАРМедиа; 2018.

9. Pitt SC, Sippel RS, Chen H. Secondary and tertiary hyperparathyroidism, state of the art surgical management. Surg Clin North Am. 2009;89(5):1227-1239. doi: https://doi.org/10.1016/j.suc.2009.06.011

10. Ware JE, Snow KK, Kosinski M, Gandek B. Sf-36 Healt Survey. Manuel and Interpretation Guide. Lincoln, RI: Quality Metric Incorporated; 2000. P. 150.

11. Амиджанова В.Н., Горячев Д.В., Коршунов Н.И., и др. Популяционные показатели качества жизни по опроснику SF-36 (результаты многоцентрового исследования качества жизни «МИРАЖ») // Научно-практическая ревматология. — 2008. — Т. 46. — №1. — С. 36-48. doi: https://doi.org/10.14412/1995-4484-2008-852

12. Инструкция по обработке данных, полученных с помощью опросника SF-36 [Интернет]. 2010. Доступно по: https://therapy.irkutsk.ru/doc/sf36.pdf. Ссылка активна на 20.03.2023.

13. Ильичева Е.А., Рой Т.А., Михлина И.А. Показатели анкетирования взрослых лиц, проживающих на территории г. Иркутска и Иркутской области по стандартному опроснику SF-36: База данных. Свидетельство гос. регистрации базы данных №2015620339 от 20.02.2015, правообладатель ФГБУ «НЦРВХ» СО РАМН.


Дополнительные файлы

1. Рисунок 1. Стандартизированные показатели КЖ пациентов до хирургического лечения в сравнении с сопоставимой по полу и возрасту выборкой жителей Иркутской области.
Тема
Тип Исследовательские инструменты
Посмотреть (232KB)    
Метаданные ▾
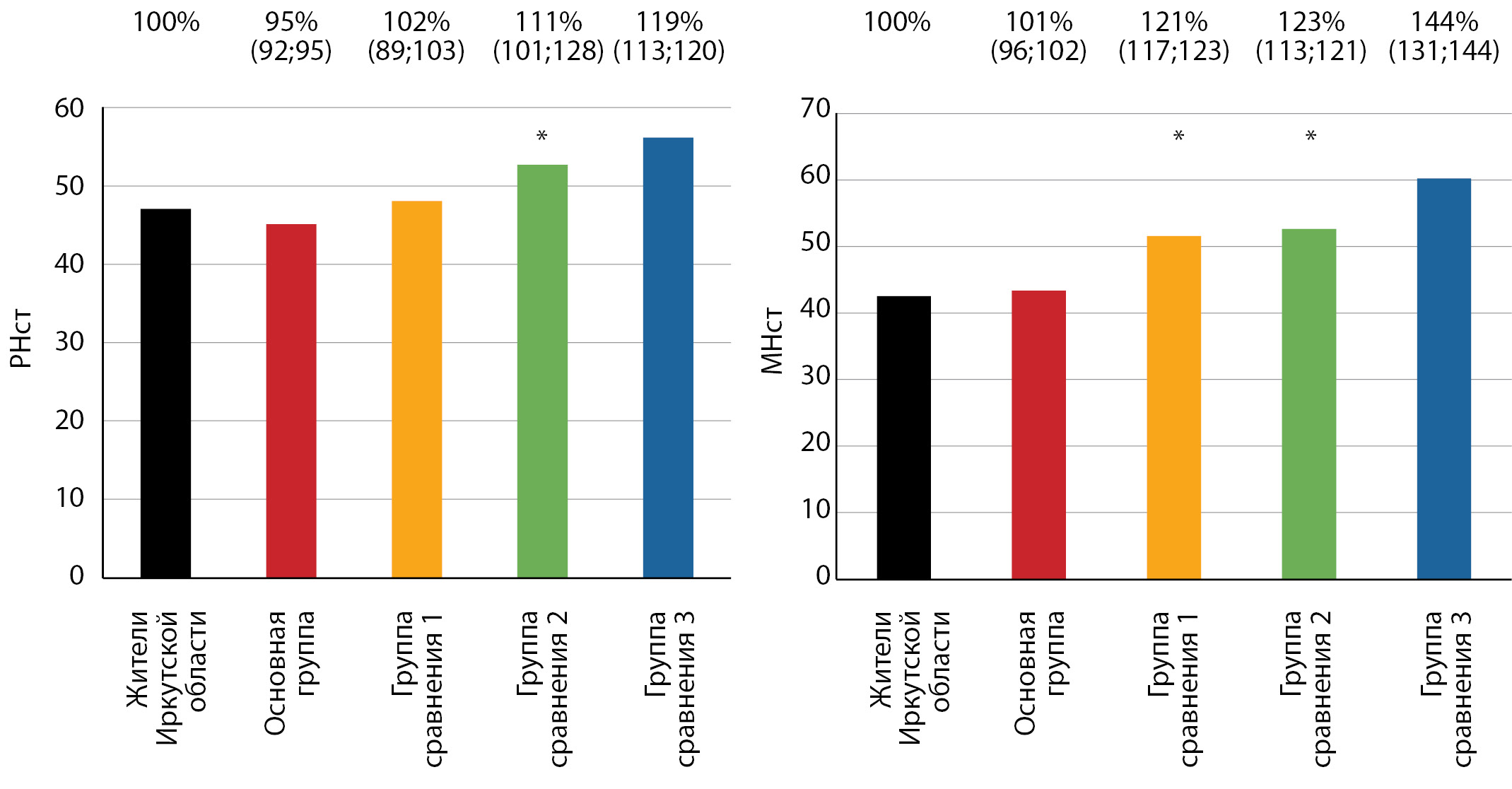
2. Рисунок 2. Физический и психологический компоненты здоровья пациентов до хирургического лечения в сравнении с сопоставимой по полу и возрасту выборкой жителей Иркутской области.
Тема
Тип Исследовательские инструменты
Посмотреть (257KB)    
Метаданные ▾
3. Рисунок 3. Физический и психологический компоненты здоровья пациентов на разных сроках анкетирования после оперативного лечения.
Тема
Тип Исследовательские инструменты
Посмотреть (220KB)    
Метаданные ▾
4. Рисунок 4. Физический и психологический компоненты здоровья пациентов после операции в зависимости от исхода и осложнений.
Тема
Тип Исследовательские инструменты
Посмотреть (214KB)    
Метаданные ▾
5. Рисунок 5. Физический и психологический компоненты здоровья пациентов в сравнении с сопоставимой по полу и возрасту выборкой жителей Иркутской области.
Тема
Тип Исследовательские инструменты
Посмотреть (246KB)    
Метаданные ▾
6. Рисунок 6. Зависимость улучшения/ухудшения качества жизни от значения паратиреоидного гормона после операции у пациентов группы сравнения 2 с транзиторной гипокальциемией.
Тема
Тип Исследовательские инструменты
Посмотреть (82KB)    
Метаданные ▾

Рецензия

Для цитирования:


Ильичева Е.А., Берсенев Г.А., Рой Т.А. Качество жизни пациентов с гиперпаратиреозом до и после хирургического лечения. Эндокринная хирургия. 2023;17(3):9-16. https://doi.org/10.14341/serg12827

For citation:


Ilyicheva E.A., Bersenev G.A., Roy T.A. Quality of life in patients with hyperparathyroidism before and after surgical treatment. Endocrine Surgery. 2023;17(3):9-16. (In Russ.) https://doi.org/10.14341/serg12827

Просмотров: 817


ISSN 2306-3513 (Print)
ISSN 2310-3965 (Online)