Thyroglobulin measurement in fine-needle aspirates of lymph nodes in patients with differentiated thyroid cancer
https://doi.org/10.14341/serg9824
Abstract
Background: The high incidence of cervical lymph nodes metastasis in highly differentiated thyroid carcinoma (DTC) and insufficient of existing diagnostic methods determines the urgency of finding reliable and more effective tests.
Aims: The aim of our study is to determine the prognostic significance of the thyroglobulin measurement in washout fluid from fine-needle aspiration biopsy (FNA-Tg) and the cut-off value in the diagnosis of DTC lymph nodes metastasis.
Materials and methods: 245 patients evaluated for suspicious cervical lymph nodes were retrospectively reviewed. All patients underwent FNA-Tg, serum thyroglobulin (sTg) levels, thyroglobulin antibodies (Tg-Ab), thyroid-stimulating hormone (TSH) were measured. 125 patients with malignant changes according to FNA and/or high FNA-Tgvalues underwent surgical treatment. Patients were divided into 2 groups with reactive (n = 23) and metastatic (n = 102) changes. FNA-TG was assayed on automated system Cobas 601 (Roche, France).
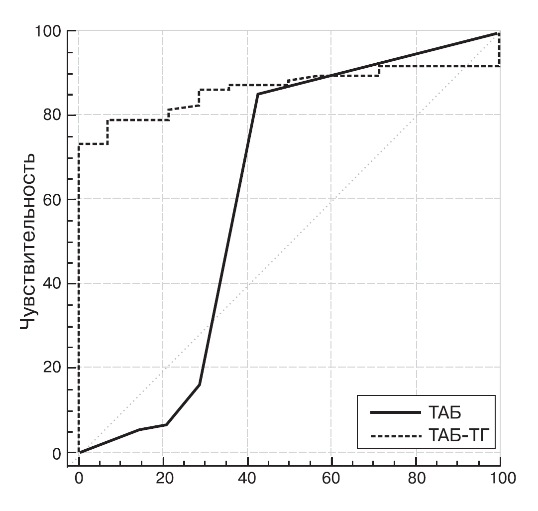
Results: All patients were comparable by sex, age and levels of TSH, sTG, Tg-Ab. The FNA-Tg median in metastatic group was 537.0 [0.1; 1000], and in benign group – 17.9 [0.5; 158.0], p = 0.003. The sensitivity of isolated FNA was 85%, specificity 57%, AUC = 0.618, 95% CI 0.516–0.713. The sensitivity and specificity of FNA-Tg was 73% and 100%, respectively, AUC = 0.865, 95% CI 0.78–0.92. The optimal cut-off point for malignancy was >9.2 ng/ml (sensitivity 75%, specificity 100%), Youden Index 0.73.
Conclusions: Additional FNA-Tg may increase the sensitivity of isolated FNA in evaluation of DTC lymph node metastasis. The optimized cut-off value >9.2 ng/ml can be proposed as a diagnostic threshold for the definition of malignancy.
Keywords
About the Authors
Zamira T. ZuraevaEndocrinology Research Centre
Russian Federation
MD
Larisa V. Nikankina
Endocrinology Research Centre
Russian Federation
MD, PhD
Galina S. Kolesnikova
Endocrinology Research Centre
Russian Federation
PhD
Fatima M. Abdulhabirova
Endocrinology Research Centre
Russian Federation
MD, PhD
Pavel O. Rumiantsev
Endocrinology Research Centre
Russian Federation
MD, PhD
Vladimir E. Vanushko
Endocrinology Research Centre
Russian Federation
MD, PhD
Natalia M. Malysheva
Endocrinology Research Centre
Russian Federation
PhD
References
1. Haugen BR, Alexander EK, Bible KC, et al. 2015 American Thyroid Association Management Guidelines for Adult Patients with Thyroid Nodules and Differentiated Thyroid Cancer: The American Thyroid Association Guidelines Task Force on Thyroid Nodules and Differentiated Thyroid Cancer. Thyroid.2016;26(1):1-133. doi: https://doi.org/10.1089/thy.2015.0020.
2. Mazzaferri EL, Kloos RT. Clinical review 128: Current approaches to primary therapy for papillary and follicular thyroid cancer. J Clin Endocrinol Metab. 2001;86(4):1447-1463. doi: https://doi.org/10.1210/jcem.86.4.7407.
3. Бельцевич Д.Г., Ванушко В.Э., Румянцев П.О., и др. Российские клинические рекомендации по диагностике и лечению высокодифференцированного рака щитовидной железы у взрослых, 2017. // Эндокринная хирургия. – 2017. – Т. 11. – №1. – С. 6-27. [Beltsevich DG, Vanushko VE, RumiantsevPO, et al. 2017 Russian clinical practice guidelines for differentiated thyroid cancer diagnosis and treatment. Endocrine surgery. 2017;11(1):6-27. (In Russ.)] doi: https://doi.org/10.14341/serg201716-27.
4. Sturgeon C, Yang A, Elaraj D. Surgical management of lymph node compartments in papillary thyroid cancer. Surg Oncol Clin N Am. 2016;25(1):17-40. doi: https://doi.org/10.1016/j.soc.2015.08.013.
5. Stulak JM, Grant CS, Farley DR, et al. Value of preoperative ultrasonography in the surgical management of initial and reoperative papillary thyroid cancer. Arch Surg. 2006; 141(5):489-494; discussion 494-486. doi: https://doi.org/10.1001/archsurg.141.5.489.
6. Torres MR, Nobrega Neto SH, Rosas RJ, et al. Thyroglobulin in the washout fluid of lymph-node biopsy: what is its role in the follow-up of differentiated thyroid carcinoma? Thyroid. 2014;24(1):7-18. doi: https://doi.org/10.1089/thy.2013.0244.
7. Frasoldati A, Toschi E, Zini M, et al. Role of thyroglobulin measurement in fine-needle aspiration biopsies of cervical lymph nodes in patients with differentiated thyroid cancer. Thyroid. 1999;9(2):105-111. doi: https://doi.org/10.1089/thy.1999.9.105.
8. Hasbek Z, Turgut B, Kilicli F, et al. Importance of postoperative stimulated thyroglobulin level at the time of 131I ablation therapy for differentiated thyroid cancer. Asian Pac J Cancer Prev. 2014;15(6):2523-2527.
9. Pacini F, Fugazzola L, Lippi F, et al. Detection of thyroglobulin in fine needle aspirates of nonthyroidal neck masses: a clue to the diagnosis of metastatic differentiated thyroid cancer. J Clin Endocrinol Metab. 1992;74(6):1401-1404. doi: https://doi.org/10.1210/jcem.74.6.1592886.
10. Grani G, Fumarola A. Thyroglobulin in lymph node fine-needle aspiration washout: a systematic review and meta-analysis of diagnostic accuracy. J Clin Endocrinol Metab. 2014;99(6):1970-1982. doi: https://doi.org/10.1210/jc.2014-1098.
11. Cooper SD, Doherty GM, Haugen BR, et al. Revised American Thyroid Association management guidelines for patients with thyroid nodules and differentiated thyroid cancer. Thyroid. 2009;19(11):1167-1214. doi: https://doi.org/10.1089/thy.2009.0110.
12. Stack BC, Jr., Ferris RL, Goldenberg D, et al. American Thyroid Association consensus review and statement regarding the anatomy, terminology, and rationale for lateral neck dissection in differentiated thyroid cancer. Thyroid. 2012;22(5):501-508. doi: https://doi.org/10.1089/thy.2011.0312.
13. Leenhardt L, Erdogan MF, Hegedus L, et al. 2013 European thyroid association guidelines for cervical ultrasound scan and ultrasound-guided techniques in the postoperative management of patients with thyroid cancer. Eur Thyroid J. 2013;2(3):147-159. doi: https://doi.org/10.1159/000354537.
14. Al-Hilli Z, Strajina V, McKenzie TJ, et al. Thyroglobulin measurement in fine-needle aspiration improves the diagnosis of cervical lymph node metastases in papillary thyroid carcinoma. Ann Surg Oncol. 2017;24(3):739-744. doi: https://doi.org/10.1245/s10434-016-5625-1.
15. Achille G, Garrisi VM, Russo S, et al. Thyroglobulin determination in fine needle aspiration biopsy washout of suspicious lymph nodes in thyroid carcinoma follow up. Endocr Metab Immune Disord Drug Targets. 2017;17(3):213-218. doi: https://doi.org/10.2174/187153031766617053109250.
16. Kim MJ, Kim EK, Kim BM, et al. Thyroglobulin measurement in fine-needle aspirate washouts: the criteria for neck node dissection for patients with thyroid cancer. Clin Endocrinol (Oxf). 2009;70(1):145-151. doi: https://doi.org/10.1111/j.1365-2265.2008.03297.x.
17. Bournaud C, Charrie A, Nozieres C, et al. Thyroglobulin measurement in fine-needle aspirates of lymph nodes in patients with differentiated thyroid cancer: a simple definition of the threshold value, with emphasis on potential pitfalls of the method. Clin Chem Lab Med. 2010;48(8):1171-1177. doi: https://doi.org/10.1515/CCLM.2010.220.
18. Zanella AB, Meyer ELS, Balzan L, et al. Thyroglobulin measurements in washout of fine needle aspirates in cervical lymph nodes for detection of papillary thyroid cancer metastases. Arq Bras Endocrinol Metab. 2010;54(6):550-554. doi: https://doi.org/10.1590/s0004-27302010000600007.
19. Sohn YM, Kim MJ, Kim EK, Kwak JY. Diagnostic performance of thyroglobulin value in indeterminate range in fine needle aspiration washout fluid from lymph nodes of thyroid cancer. Yonsei Med J. 2012;53(1):126-131. doi: https://doi.org/10.3349/ymj.2012.53.1.126.
20. Snozek CL, Chambers EP, Reading CC, et al. Serum thyroglobulin, high-resolution ultrasound, and lymph node thyroglobulin in diagnosis of differentiated thyroid carcinoma nodal metastases. J Clin Endocrinol Metab. 2007;92(11): 4278-4281. doi: https://doi.org/10.1210/jc.2007-1075.
21. Achille G, Garrisi VM, Russo S, et al. Thyroglobulin determination in fine needle aspiration biopsy washout of suspicious lymph nodes in thyroid carcinoma follow up. Endocr Metab Immune Disord Drug Targets. 2017;17(3):213-218. doi: https://doi.org/10.2174/1871530317666170531092501.
22. Cignarelli M, Ambrosi A, Marino A, et al. Diagnostic utility of thyroglobulin detection in fine-needle aspiration of cervical cystic metastatic lymph nodes from papillary thyroid cancer with negative cytology. Thyroid. 2003;13(12):1163-1167. doi: https://doi.org/10.1089/10507250360731578.
23. Jeon SJ, Kim E, Park JS, et al. Diagnostic benefit of thyroglobulin measurement in fine-needle aspiration for diagnosing metastatic cervical lymph nodes from papillary thyroid cancer: correlations with US features. Korean J Radiol. 2009; 10(2):106-111. doi: https://doi.org/10.3348/kjr.2009.10.2.106.
24. Uruno T, Miyauchi A, Shimizu K, et al. Usefulness of thyroglobulin measurement in fine-needle aspiration biopsy specimens for diagnosing cervical lymph node metastasis in patients with papillary thyroid cancer. World J Surg. 2005;29(4):483-485. doi: https://doi.org/10.1007/s00268-004-7701-0.
25. Duval M, Zanella AB, Cristo AP, et al. Impact of serum TSH and anti-thyroglobulin antibody levels on lymph node fine-needle aspiration thyroglobulin measurements in differentiated thyroid cancer patients. Eur Thyroid J. 2017;6(6): 292-297. doi: https://doi.org/10.1159/000479682.
26. Giovanella L, Feldt-Rasmussen U, Verburg FA, et al. Thyroglobulin measurement by highly sensitive assays: focus on laboratory challenges. Clin Chem Lab Med. 2015;53(9): 1301-1314. doi: https://doi.org/10.1515/cclm-2014-0813.
Supplementary files
|
|
1. Picture. ROC-curves TAB and TAB-TG. | |
| Subject | ||
| Type | Исследовательские инструменты | |
View
(27KB)
|
Indexing metadata ▾ | |
Review
For citations:
Zuraeva Z.T., Nikankina L.V., Kolesnikova G.S., Abdulhabirova F.M., Rumiantsev P.O., Vanushko V.E., Malysheva N.M. Thyroglobulin measurement in fine-needle aspirates of lymph nodes in patients with differentiated thyroid cancer. Endocrine Surgery. 2019;13(1):17-25. (In Russ.) https://doi.org/10.14341/serg9824
This work is licensed under a Creative Commons Attribution-NonCommercial-NoDerivatives 4.0 International License (CC BY-NC-ND 4.0).




































