Перейти к:
Факторы, влияющие на вероятность возникновения рецидива болезни Иценко–Кушинга в течение трех лет после успешного нейрохирургического лечения
https://doi.org/10.14341/serg9761
Аннотация
Обоснование. Болезнь Иценко–Кушинга (БИК) – тяжелое нейроэндокринное заболевание, которое может протекать молниеносно с развитием выраженных осложнений гиперкортицизма, требующих незамедлительного лечения. Основным методом лечения является нейрохирургическая операция, эффективность которой в настоящее время может достигать 80% и более, однако примерно у четверти пациентов после успешного нейрохирургического лечения возникает рецидив.
Цель. Анализ прогностических факторов, потенциально влияющих на возникновение рецидива БИК после первичной трансназальной аденомэктомии.
Методы. Проведено ретроспективное моноцентровое сравнительное исследование 219 пациентов (32 мужчины, 187 женщин) с подтвержденным диагнозом болезни Иценко–Кушинга, которым в период с 2007 по 2014 г. была выполнена эндоскопическая транссфеноидальная аденомэктомия. Критериями включения пациентов в исследование являлись отсутствие проводимого ранее патогенетического лечения по поводу данного заболевания и развитие ранней послеоперационной ремиссии. Катамнез составил 3 года и более. Применяли методы статистического сравнения групп, в том числе анализ времени до события, а также ROC-анализ.
Результаты. В течение 3 лет ремиссия сохранилась у 172 пациентов, рецидив развился у 47 больных (21,5% [16%; 28%]). Вероятность рецидива БИК оказалась связана с уровнями утренних АКТГ и кортизола, а также вечернего АКТГ в раннем послеоперационном периоде. В результате проведения ROC-анализа для утренних АКТГ и кортизола получены оптимальные отрезные точки 7 пг/мл и 123 нмоль/л соответственно. При достижении уровня АКТГ менее 7 пг/мл вероятность развития рецидива составила 7% [3%; 14%], при уровне ≥7 пг/мл – 31% [23%; 40%], относительный риск (ОР) – 0,22 [0,09; 0,51], отношение шансов (ОШ) – 0,16 [0,06; 0,43]. При значениях кортизола ниже 123 нмоль/л вероятность развития рецидива составила 13% [9%; 20%], при значениях ≥123 нмоль/л – 45% [32%; 59%], ОР составил 0,29 [0,18; 0,50], ОШ – 0,19 [0,09; 0,39].
Заключение. Развитие надпочечниковой недостаточности (снижение уровней АКТГ менее 7 пг/мл и кортизола менее 123 нмоль/л) статистически значимо уменьшает вероятность развития рецидива заболевания в течение 3 лет после операции.
Ключевые слова
Для цитирования:
Надеждина Е.Ю., Реброва О.Ю., Иващенко О.В., Азизян В.Н., Арапова С.Д., Григорьев А.Ю. Факторы, влияющие на вероятность возникновения рецидива болезни Иценко–Кушинга в течение трех лет после успешного нейрохирургического лечения. Эндокринная хирургия. 2018;12(2):70-80. https://doi.org/10.14341/serg9761
For citation:
Nadezhdina E.Y., Rebrova O.Y., Ivashenko O.V., Azizyan V.N., Arapova S.D., Grigoriev A.Y. Factors affecting the probability of recurrence of the Cushing’s disease within 3 years after effective neurosurgical treatment. Endocrine Surgery. 2018;12(2):70-80. (In Russ.) https://doi.org/10.14341/serg9761
Список сокращений
- АКТГ – адренокортикотропный гормон гипофиза
- БИК – болезнь Иценко–Кушинга
- ДИ – доверительный интервал
- ОР – отношение рисков
- ОШ – отношение шансов
Обоснование
Болезнь Иценко–Кушинга (БИК) – тяжелое нейроэндокринное заболевание, обусловленное хронической гиперпродукцией адренокортикотропного гормона (АКТГ) опухолью гипофиза. Увеличение секреции АКТГ приводит в свою очередь к хронической повышенной выработке кортизола корой надпочечников и развитию симптомокомплекса эндогенного гиперкортицизма [1]. Болезнь быстро прогрессирует, поэтому все больные с выявленным гиперкортицизмом должны подвергаться активному лечению в кратчайшие сроки [2]. Эндоскопическая трансназальная транссфеноидальная аденомэктомия является методом выбора в лечении БИК [3–5]. Несмотря на высокие показатели ремиссии – порядка 60–90% [6–9], частота рецидивов заболевания после первоначально успешной (с развитием послеоперационной ремиссии) трансназальной аденомэктомии варьирует от 10 до 65% [10–13]. Большая часть рецидивов возникает в первые 2–4 года после трансназальной аденомэктомии [14, 15]. В ряде работ оценены факторы, влияющие на развитие рецидива заболевания: послеоперационные уровни АКТГ и кортизола, визуализация аденомы по данным 1,5 Тл МРТ, размер и инвазия аденомы гипофиза, в то время как возраст, длительность заболевания не оказывают влияния на вероятность возникновения рецидива [6, 7, 10, 14, 15, 19–22].
Цель
Поиск предикторов рецидива болезни Иценко–Кушинга после успешного хирургического лечения.
Методы
Дизайн исследования
Проведено ретроспективное моноцентровое сравнительное исследование.
Критерии соответствия
В исследование включали истории болезни пациентов в возрасте от 16 лет и старше, которым в ФГБУ “Эндокринологический научный центр” Минздрава России с 2007 по 2014 г. была выполнена успешная трансназальная аденомэктомия по поводу болезни Иценко–Кушинга, с лабораторно подтвержденной послеоперационной ремиссией. Применялся сплошной способ формирования выборки.
В исследование не включали пациентов с ранее проведенными патогенетическими (лучевыми и нейрохирургическим) методами лечения.
Продолжительность исследования
Исследование проведено в 2017–2018 гг., в анализ включены истории болезни пациентов, наблюдавшихся с 2007 по 2017 г. Длительность наблюдения за пациентами после операции составила от 4,5 мес до 11 лет (медиана и квартили – 4,1 года [3,0; 5,9]).
Описание медицинского вмешательства
Гормональные анализы и диагностические пробы проводились на дооперационном этапе для подтверждения диагноза “болезнь Иценко–Кушинга” (МКБ Е24.0). При сомнении в наличии гиперкортицизма центрального генеза (отсутствие визуализации аденомы гипофиза на МРТ, размер аденомы гипофиза менее 6 мм в сочетании с отрицательной большой дексаметазоновой пробой и/или уровнем АКТГ в вечернее время более 110 пг/мл) пациентам проводился селективный забор крови из нижних каменистых синусов со стимуляцией десмопрессином [1, 17]. После подтверждения диагноза пациентам выполнялось нейрохирургическое вмешательство (эндоскопическая трансназальная аденомэктомия) с целью удаления опухоли гипофиза.
На 1-е сутки после операции (ожидаемое время развития клинико-гормональных признаков надпочечниковой недостаточности) всем пациентам проводили определение концентрации АКТГ в плазме и кортизола в сыворотке крови. При более раннем развитии клинической картины гипокортицизма забор крови осуществлялся до окончания 1-х суток с последующим назначением заместительной терапии. Критерием развития надпочечниковой недостаточности было снижение уровней АКТГ и/или кортизола ниже надира (ниже 7 пг/мл для АКТГ, ниже 123 нмоль/л для кортизола) по данным клинико-диагностической лаборатории ФГБУ “Эндокринологический научный центр” Минздрава России. При отсутствии клинических и лабораторных данных подтверждения гипокортицизма контроль гормонов осуществлялся регулярно (через 1–2 сут) вплоть до выписки пациента из стационара (примерно на 12–14-е сутки после операции).
У всех пациентов диагностирована лабораторно подтвержденная ранняя послеоперационная ремиссия (первые 14 дней после операции, пока пациент находится в стационаре) в виде надпочечниковой недостаточности (этим больным была назначена пероральнаязаместительная терапия глюкокортикоидами) или нормализации гормональных показателей (ритм кортизола и АКТГ, свободный кортизол в слюне, свободный кортизол в суточной моче).
Основной исход исследования
Анализировались сроки развития рецидива либо сохранения ремиссии.
Методы регистрации исходов
Рецидив заболевания верифицировали по следующим критериям:
- повышение концентрации кортизола в слюне (вечером);
- отрицательная малая проба с дексаметазоном;
- повышение концентрации свободного кортизола в суточной моче;
- нарушение ритмов секреции АКТГ и кортизола;
- возврат клинической картины гиперкортицизма.
Любые два критерия из пунктов 1–3 свидетельствовали о рецидиве заболевания. Пункты 4 и 5 являлись дополнительными, так как могли косвенно свидетельствовать о начале рецидива БИК.
Анализ факторов, потенциально связанных с вероятностью развития рецидива, включал следующие показатели:
- пол;
- возраст на момент проведения нейрохирургической операции (число полных лет);
- длительность заболевания от начала первых симптомов болезни до проведения трансназальной аденомэктомии (дни);
- МРТ-характеристики аденомы – наличие/отсутствие аденомы гипофиза по данным МРТ головного мозга, тип аденомы (макроаденома или микроаденома – при наибольшем размере аденомы до 10 мм по данным МРТ) в случае ее визуализации;
- концентрация свободного кортизола в слюне (вечером), взятие проб выполнялось в сроки от 2 нед до 2 мес до оперативного лечения;
- концентрация свободного кортизола в суточной моче, взятие проб – от 2 нед до 2 мес до оперативного лечения;
- концентрация АКТГ и кортизола утром и вечером в крови, взятие проб проводилось в сроки от 2 нед до 2 мес до оперативного лечения, а также в послеоперационном периоде на 1-е сутки, при нормализации показателей – через сутки вплоть до выписки пациента из стационара (при снижении показателей ниже нормы пациенту назначалась заместительная терапия глюкокортикоидами).
Определение концентрации гормонов выполнялось иммунохемилюминесцентным методом на автоматизированной системе Сobas 600 (Roche, Франция).
МРТ-исследование головного мозга выполнено на магнитно-резонансном томографе General Electric 450 W 1,5 Тл.
Этическая экспертиза
Протокол исследования одобрен локальным этическим комитетом (протокол №19 от 26.12.2012).
Статистический анализ
ROC-анализ проводили с помощью пакета программ IBM SPSS Statistics v.18 (IBM, США), остальные методы анализа реализовывали в пакете программ Statistica v.13 (StatSoft, Inc., США). Рассчитывались прогностические чувствительность и специфичность, а также их 95% доверительные интервалы (ДИ). Распределения количественных признаков представлены с использованием медиан (Me) и интерквартильных интервалов [Q1; Q3], качественных признаков – абсолютными и относительными частотами, их 95% ДИ, рассчитанными по методу Клоппера–Пирсона. Для сравнения групп использовались тесты Манна–Уитни (для количественных признаков), точный критерий Фишера и хи-квадрат (для качественных признаков), лог-ранговый тест при анализе времени до события. 95% ДИ для относительных рисков (ОР) и отношений шансов (ОШ) рассчитывали с использованием интернет-калькулятора http://statpages.info/ctab2x2.html [18].
Результаты
Объекты (участники) исследования
В исследование включены 219 пациентов (32 мужчины и 187 женщин) в возрасте от 16 до 64 лет на момент операции (медиана и квартили – 37 [29; 48]) с длительностью заболевания (с момента появления его первых признаков и до постановки диагноза) от 4 мес до 22 лет. У 11 пациентов, вошедших в исследование, в анамнезе была односторонняя адреналэктомия, которая у 5 человек не привела к ремиссии гиперкортицизма, у 4 пациентов было только клиническое улучшение состояния, у 2 больных операция дала лишь кратковременный результат.
Основные результаты исследования
За весь период наблюдения ремиссия сохранялась у 161 пациента, рецидив развился в 58 случаях (26,5%, 95% ДИ [20%; 33%]). Сроки наступления рецидива составили от 133 до 4006 дней, нижний квартиль – 1886 дней (рис. 1). 47 из 58 рецидивов (81%) развились в срок до 3 лет, в связи с этим трехлетний период был выбран нами в качестве горизонта прогнозирования при изучении факторов прогноза. Частота наступления рецидива в срок до 3 лет составила 21,5% [16%; 28%].
Рис. 1. Сроки наступления рецидива в общей когорте больных БИК (n = 219).
Описательная статистика и результаты сравнения групп пациентов с рецидивом в течение 3 лет и ремиссией не менее 3 лет по изученным показателям представлены в табл. 1. Пациенты с рецидивом и ремиссией не различаются по возрасту, полу, длительности заболевания, типу аденом, дооперационным показателям кортизола (утро, вечер), АКТГ (вечер), свободного кортизола в слюне (вечер), свободного кортизола в моче. В то же время послеоперационные уровни кортизола (утро), АКТГ (утро, вечер) статистически значимо различаются.
Таблица 1. Описательная статистика и сравнение пациентов с ремиссией и рецидивом в течение 3 лет после операции
Примечание. * Для количественных признаков указаны медиана и интерквартильный интервал. ** В случаях использования других тестов они дополнительно указаны; 1n = 171; 2n = 89; 3n = 58; 4n = 29; 5n = 27; 6n = 26.
Для качественных признаков (пол, МРТ-характеристики аденомы) также изучена зависимость времени до рецидива от их значений. Пол не влияет на время до рецидива: за 3 года наблюдения рецидив произошел у 5 из 32 мужчин (15,6% [5,2%; 32,7%]) и у 42 из 187 женщин (22,4% [16,7%; 29,1%]), различия групп статистически незначимы (p = 0,351, лог-ранговый тест). МРТ-характеристики аденомы также не ассоциированы с временем до рецидива: в течение 3 лет наблюдения рецидив произошел у 29 из 138 пациентов с микроаденомами (21% [15%; 29%]), 15 из 59 пациентов с макроаденомами (25% [15%; 38%]) и 3 из 22 пациентов, у которых аденома по данным МРТ не визуализировалась (14% [3%; 35%]) (p = 0,481, тест χ2). Влияние наличия инвазии на вероятность возникновения рецидива не оценивали в связи с малым количеством данных (менее 20% пациентов).
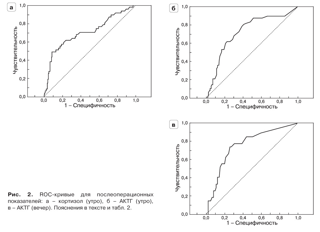
С целью анализа прогностической ценности количественных признаков в отношении рецидива был проведен ROC-анализ (табл. 2). Только три количественных признака (кортизол, АКТГ (утро) и АКТГ (вечер) в раннем послеоперационном периоде) оказались перспективными для использования в качестве предикторов рецидива – их площадь под кривой статистически значимо отличалась от индифферентной величины 0,5. На рис. 2 представлены ROC-кривые для этих трех показателей.
Рис. 2. RОС-кривые для послеоперационных показателей: а – кортизол (утро), б – АКТГ (утро), в – АКТГ (вечер). Пояснения в тексте и табл. 2.
Таблица 2. Результаты ROC-анализа по потенциальным количественным предикторам рецидива
Примечание. AUC – площадь под кривой; SD – стандартное отклонение.
Нами были проанализированы разные отрезные точки утренних уровней кортизола и АКТГ в отношении эффективности прогноза рецидива: 123 нмоль/л (нижняя граница референсного интервала), 75 нмоль/л, 50 нмоль/л для кортизола, 3 пг/мл и 7 пг/мл (нижняя граница референсного интервала) для АКТГ. Для перечисленных отрезных точек были подсчитаны значения чувствительности и специфичности, а также выполнено сравнение времени до рецидива в соответствующих подгруппах (табл. 3).
Таблица 3. Чувствительность и специфичность для различных отрезных точек послеоперационных значений концентрации кортизола (утро) и АКТГ (утро)
Примечание. p* — по результатам лог-рангового теста.
Отрезная точка 50 нмоль/л для кортизола имеет низкую чувствительность, а специфичность вовсе отсутствует (95% ДИ включает 50%), при этом уровень значимости при сравнении подгрупп с низкими и высокими относительно данной отрезной точки значениями по времени до рецидива близок к пороговому. Отрезная точка 75 нмоль/л имеет более сбалансированные по сравнению с двумя другими отрезными точками значения чувствительности и специфичности, однако оба они низкие. Для отрезной точки 123 нмоль/л чувствительность отсутствует, но зато специфичность достаточно высока (83%). Таким образом, оптимальной отрезной точкой для кортизола является 123 нмоль/л (нижняя граница референсного диапазона). При значениях кортизола ниже 123 нмоль/л вероятность развития рецидива в течение ближайших 3 лет составила 13% [9%; 20%], при значениях ≥123 нмоль/л – 45% [32%; 59%], ОР 0,29 [0,18; 0,50], ОШ 0,19 [0,09; 0,39].
Для АКТГ сравнение двух изученных отрезных точек показывает большую ценность отрезной точки 3 пг/мл в силу большей специфичности. При этом вероятность развития рецидива при значениях 7 пг/мл и менее составила 7% [3%; 14%], при уровне ≥7 пг/мл – 31% [23%; 40%], ОР 0,22 [0,09; 0,51], ОШ 0,16 [0,06; 0,43]. Для отрезной точки 3 пг/мл значения ОР и ОШ хуже – доверительные интервалы очень широкие: ОР 0,38 [0,14; 0,92], ОШ 0,32 [0,10; 0,90]. Таким образом, все же оптимальной отрезной точкой для АКТГ пока следует считать нижнюю границу референсного интервала – 7 пг/мл.
ROC-анализ уровня АКТГ (вечер) был неперспективен из-за недостаточного числа наблюдений: данные имелись только для 42%.
Таким образом, два показателя – кортизол (утро) и АКТГ (утро) в раннем послеоперационном периоде – можно было бы попробовать использовать для прогнозирования рецидива, однако их значения в большой доле случаев (58%) диссоциированы, т.е. являются противоречивыми в отношении прогноза рецидива (табл. 4). Это делает невозможным практическое использование набора этих двух показателей и обосновывает проведение в дальнейшем многомерного анализа ряда прогностических факторов, совместно влияющих на возникновение рецидива.
Нежелательные явления
Не оценивались.
Обсуждение
Резюме основного результата исследования
Не выявлено зависимости между полом, возрастом, длительностью заболевания, МРТ-характеристиками аденом, дооперационными лабораторными данными и развитием рецидива БИК. В то же время вероятность рецидива БИК оказалась связана с уровнями утренних АКТГ и кортизола в раннем послеоперационном периоде. При достижении уровня АКТГ менее 7 пг/мл вероятность развития рецидива составила 7% [3%; 14%], при уровне >7 пг/мл – 31% [23%, 40%], ОР составляет 0,22 [0,09; 0,51], ОШ – 0,16 [0,06; 0,43]. При значениях кортизола ниже 123 нмоль/л вероятность развития рецидива составила 13% [9%; 20%], при значениях ≥123 нмоль/л – 45% [32%; 59%], ОР – 0,29 [0,18; 0,50], ОШ – 0,19 [0,09; 0,39]. В то же время уровни этих показателей в 58% случаев оказались диссоциированы(противоречивы), что не позволяет их использовать в качестве инструментов прогноза.
Обсуждение основного результата исследования
В нашей работе было показано, что после успешной первичной трансназальной аденомэктомии частота развития рецидива в срок до 3 лет составила 21,5% [16%; 28%]. 81% рецидивов развились в срок до 3 лет, как и в ряде работ [14, 15].
Наши результаты соответствуют результатам ряда других исследований в отношении того, что факторами предикции рецидива являются утренние уровни АКТГ и кортизола [14, 16, 19]. Однако нами дополнительно выявлено, что перспективным фактором рецидивирования является вечерний послеоперационный уровень АКТГ. В то же время, по данным разных исследователей, разные послеоперационные уровни утреннего кортизола прогнозируют стойкую ремиссию у пациентов с БИК – ниже 2 мкг/дл (50–55 нмоль/л) [7, 19], ниже 3 мг/дл (84 нмоль/л) [11], ниже 100 нмоль/л [14], ниже 138 нмоль/л [20], ниже 140 нмоль/л (5 г/дл) [21]. В нашем исследовании оптимальной отрезной точкой оказалась 123 нмоль/л. Аналогично с отрезными точками для АКТГ: разными авторами предлагались точки 5 пг/мл [7], 7,55 пмоль/л (5,9 пг/мл) [22], 10 пг/мл [14]. В нашей работе оптимальной оказалась точка 7 пг/мл.
Каждый из двух показателей – кортизол (утро) и АКТГ (утро) в раннем послеоперационном периоде – можно было бы использовать для прогнозирования рецидива, однако их значения у каждого конкретного больного более чем в половине случаев противоречивы, что препятствует их практическому применению. Другими исследователями ранее также не предлагался какой-либо способ использования данных показателей как инструментов прогноза. Таким образом, актуальной является задача проведения многомерного анализа ряда прогностических факторов, совместно влияющих на возникновение рецидива.
Ограничения исследования
Исследование является ретроспективным, поэтому нельзя исключить историческое смещение в оценке лабораторных показателей. С ретроспективным дизайном связано и значительное количество пропусков в данных. С частью пациентов, первоначально запланированных для включения в исследование, связаться не удалось, и соответственно невозможно было подтвердить или опровергнуть ремиссию заболевания в трехлетний период наблюдения.
Заключение
Как и ряд других исследователей, мы установили, что утренние уровни кортизола и АКТГ в раннем послеоперационном периоде являются важными факторами, ассоциированными с развитием рецидива либо сохранением ремиссии. Дополнительно выявлено, что перспективным фактором прогноза рецидивирования является вечерний послеоперационный уровень АКТГ. В качестве оптимальных отрезных точек мы предлагаем использовать 123 нмоль/л для кортизола и 7 пг/мл для АКТГ, которые обладают высокой разрешающей способностью в отношении прогнозирования рецидива в ближайшие 3 года после операции – значения этих гормонов ниже нижней границы референсных интервалов снижают вероятность рецидива в 4,5 и 3,5 раза соответственно. Однако практическое использование этих факторов для построения прогноза у конкретного пациента с целью персонификации его послеоперационного ведения затруднено, так как более чем у половины пациентов эти показатели диссоциированы. В связи с этим актуальным является многомерный анализ ряда прогностических факторов, влияющих на возникновение рецидива.
Дополнительная информация
Источник финансирования. Исследование проведено в соответствии с научной темой, утвержденной на заседании Ученого совета ФГБУ “Эндокринологический научный центр” 11.12.2012.
Конфликт интересов. Авторы декларируют отсутствие явных и потенциальных конфликтов интересов, связанных с публикацией настоящей статьи.
Участие авторов. Надеждина Е.Ю. – сбор данных, статистический анализ данных, написание статьи, ведение оперированных пациентов и медицинской документации, динамическое наблюдение за оперированными пациентами; Реброва О.Ю. – статистический анализ данных, участие в написании статьи; Иващенко О.В. – выполнение хирургических вмешательств, ведение оперированных пациентов и медицинской документации; Азизян В.Н. – выполнение хирургических вмешательств, ведение оперированных пациентов и медицинской документации, редактирование статьи; Арапова С.Д. – дооперационное и послеоперационное ведение пациентов и заполнение медицинской документации; Григорьев А.Ю. – планирование исследования, выполнение хирургических вмешательств, участие в написании статьи. Все авторы внесли значимый вклад в проведение исследования и подготовку статьи, прочли и одобрили финальную версию статьи перед публикацией.
Список литературы
1. Мельниченко Г.А., Дедов И.И., Белая Ж.Е., и др. Болезнь Иценко–Кушинга: клиника, диагностика, дифференциальная диагностика, методы лечения. // Проблемы эндокринологии. – 2015. – Т. 61. – №2. – С. 55-77. [Melnichenko GA, Dedov II, Belaya ZE, et al. Cushing’s disease: the clinical features, diagnostics, differential diagnostics, and methods of treatment. Problems of endocrinology. 2015;61(2):55-77. (In Russ.)] doi: 10.14341/probl201561255-77.
2. Марова Е.И., Арапова С.Д., Белая Ж.Е., и др. Практическое руководство для врачей: Болезнь Иценко–Кушинга: клиника, диагностика, лечение. / Под ред. Дедова И.И., Мельниченко Г.А. – М.; 2012. [Marova EI, Arapova SD, Belaya ZE, et al. by Dedov II, Melnichenko GA, editors. Prakticheskoe rukovodstvo dlya vrachey: Bolezn' Itsenko-Kushinga: klinika, diagnostika, lechenie. Moscow; 2012. (In Russ.)]
3. Арапова С.Д., Григорьев А.Ю. Результаты нейрохирургического лечения. В кн.: Болезнь Иценко–Кушинга. / Под ред. Дедова И.И., Мельниченко Г.А. – М.; 2011. – С. 215-235. [Arapova SD, Grigorjev AY. Rezul'taty neyrokhirurgicheskogo lecheniya. In: Dedov II, Melnichenko GA, editors. Bolezn' Itsenko-Kushinga. Moscow; 2011. p. 215-235. (In Russ.)]
4. Czirjak S, Bezzegh A, Gal A, Racz K. Intra- and postoperative plasma ACTH concentrations in patients with Cushing's disease cured by transsphenoidal pituitary surgery. Acta Neurochir (Wien). 2002;144(10):971-977; discussion 977. doi: 10.1007/s00701-002-0984-8.
5. Lonser RR, Nieman L, Oldfield EH. Cushing's disease: pathobiology, diagnosis, and management. J Neurosurg. 2017;126(2):404-417. doi: 10.3171/2016.1.JNS152119.
6. Bochicchio D, Losa M, Buchfelder M. Factors influencing the immediate and late outcome of Cushing's disease treated by transsphenoidal surgery: a retrospective study by the European Cushing's Disease Survey Group. J Clin Endocrinol Metab. 1995;80(11):3114-3120. doi: 10.1210/jcem.80.11.7593411.
7. Hameed N, Yedinak CG, Brzana J, et al. Remission rate after transsphenoidal surgery in patients with pathologically confirmed Cushing's disease, the role of cortisol, ACTH assessment and immediate reoperation: a large single center experience. Pituitary. 2013;16(4):452-458. doi: 10.1007/s11102-012-0455-z.
8. McCance DR, Gordon DS, Fannin TF, et al. Assessment of endocrine function after transsphenoidal surgery for Cushing's disease. Clin Endocrinol (Oxf). 1993;38(1):79-86. doi: 10.1111/j.1365-2265.1993.tb00976.x.
9. van Aken MO, de Herder WW, van der Lely A-J, et al. Postoperative metyrapone test in the early assessment of outcome of pituitary surgery for Cushing's disease. Clin Endocrinol (Oxf). 1997;47(2):145-149. doi: 10.1046/j.1365-2265.1997.2541051.x.
10. Alexandraki KI, Kaltsas GA, Isidori AM, et al. Long-term remission and recurrence rates in Cushing's disease: predictive factors in a single-centre study. Eur J Endocrinol. 2013;168(4):639-648. doi: 10.1530/EJE-12-0921.
11. Aranda G, Ensenat J, Mora M, et al. Long-term remission and recurrence rate in a cohort of Cushing's disease: the need for long-term follow-up. Pituitary. 2015;18(1):142-149. doi: 10.1007/s11102-014-0567-8.
12. Barbetta L, Dall'Asta C, Tomei G, et al. Assessment of cure and recurrence after pituitary surgery for Cushing's disease. Acta Neurochir (Wien). 2001;143(5):477-482.
13. doi: 10.1007/s007010170077.
14. Petersenn S, Beckers A, Ferone D, et al. Therapy of endocrine disease: outcomes in patients with Cushing's disease undergoing transsphenoidal surgery: systematic review assessing criteria used to define remission and recurrence. Eur J Endocrinol. 2015;172(6):R227-239. doi: 10.1530/EJE-14-0883.
15. Марова Е.И., Колесникова Г.С., Арапова С.Д., и др. Факторы прогноза результатов удаления кортикотропином при болезни Иценко–Кушинга. // Эндокринная хирургия. – 2016. – Т. 10. – №4. – С. 20-30. [Marova EI, Kolesnikova GS, Arapova SD, et al. Factors predicting the outcomes of removal of corticotropinoms in Cushing's disease. Endocrine surgery. 2016;10(4):20-30. (In Russ.)] doi: 10.14341/serg2016420-30.
16. Ferone D, Pivonello C, Vitale G, et al. Molecular basis of pharmacological therapy in Cushing’s disease. Endocrine. 2013;46(2):181-198. doi: 10.1007/s12020-013-0098-5.
17. Pivonello R, De Leo M, Cozzolino A, Colao A. The treatment of Cushing's disease. Endocr Rev. 2015;36(4):385-486. doi: 10.1210/er.2013-1048.
18. Дедов И.И., Ситкин И.И., Белая Ж.Е., и др. Первый опыт использования селективного забора крови из нижних каменистых синусов в России (клиническое наблюдение). // Проблемы эндокринологии. – 2009. – Т. 55. – №6. – С. 11-16. [Dedov II, Sitkin II, Belaya ZE, et al. The first experience with selective blood collection from the inferior petrosal sinuses in Russia (case reports). Problems of endocrinology. 2009;55(6):11-16. (In Russ.)] doi: 10.14341/probl200955611-16.
19. Bernard Rosner. Fundamentals of Biostatistics. 6th ed. Thomson-Brooks/Cole; 2006.
20. Abellán Galiana P, Fajardo Montañana C, Riesgo Suárez PA, et al. Factores pronósticos de remisión a largo plazo tras cirugía transesfenoidal en la enfermedad de Cushing. Endocrinología y Nutrición. 2013;60(8):475-482. doi: 10.1016/j.endonu.2012.09.009.
21. Esposito F, Dusick JR, Cohan P, et al. Early morning cortisol levels as a predictor of remission after transsphenoidal surgery for Cushing’s disease. J Clin Endocrinol Metab. 2006;91(1):7-13. doi: 10.1210/jc.2005-1204.
22. Pereira AM, van Aken MO, van Dulken H, et al. Long-term predictive value of postsurgical cortisol concentrations for cure and risk of recurrence in Cushing’s disease. J Clin Endocrinol Metab. 2003;88(12):5858-5864. doi: 10.1210/jc.2003-030751.
23. Acebes JJ, Martino J, Masuet C, et al. Early post-operative ACTH and cortisol as predictors of remission in Cushing’s disease. Acta Neurochirurgica. 2007;149(5):471-479. doi: 10.1007/s00701-007-1133-1.
Об авторах
Елена Юрьевна НадеждинаФГБУ “Национальный медицинский исследовательский центр эндокринологии” Минздрава России
Россия
аспирант отделения хирургии
Ольга Юрьевна Реброва
ФГБУ “Национальный медицинский исследовательский центр эндокринологии” Минздрава России
Россия
д.м.н.
Оксана Владимировна Иващенко
ФГБУ “Национальный медицинский исследовательский центр эндокринологии” Минздрава России
Россия
врач-нейрохирург
Вилен Неронович Азизян
ФГБУ “Национальный медицинский исследовательский центр эндокринологии” Минздрава России
Россия
к.м.н., нейрохирург
Светлана Дмитриевна Арапова
ФГБУ “Национальный медицинский исследовательский центр эндокринологии” Минздрава России
Россия
к.м.н.
Андрей Юрьевич Григорьев
ФГБУ “Национальный медицинский исследовательский центр эндокринологии” Минздрава России
Россия
д.м.н., профессор
Дополнительные файлы
|
|
1. Рис. 1. Сроки наступления рецидива в общей когорте больных БИК (n = 219). | |
| Тема | ||
| Тип | Исследовательские инструменты | |
Посмотреть
(17KB)
|
Метаданные ▾ | |
|
|
2. Рис. 2. RОС-кривые для послеоперационных показателей: а – кортизол (утро), б – АКТГ (утро), в – АКТГ (вечер). Пояснения в тексте и табл. 2. | |
| Тема | ||
| Тип | Исследовательские инструменты | |
Посмотреть
(126KB)
|
Метаданные ▾ | |
|
|
3. Таблица 1. Описательная статистика и сравнение пациентов с ремиссией и рецидивом в течение 3 лет после операции | |
| Тема | ||
| Тип | Исследовательские инструменты | |
Посмотреть
(58KB)
|
Метаданные ▾ | |
|
|
4. Таблица 2. Результаты ROC-анализа по потенциальным количественным предикторам рецидива | |
| Тема | ||
| Тип | Исследовательские инструменты | |
Посмотреть
(51KB)
|
Метаданные ▾ | |
|
|
5. Таблица 3. Чувствительность и специфичность для различных отрезных точек послеоперационных значений концентрации кортизола (утро) и АКТГ (утро) | |
| Тема | ||
| Тип | Исследовательские инструменты | |
Посмотреть
(49KB)
|
Метаданные ▾ | |
Рецензия
Для цитирования:
Надеждина Е.Ю., Реброва О.Ю., Иващенко О.В., Азизян В.Н., Арапова С.Д., Григорьев А.Ю. Факторы, влияющие на вероятность возникновения рецидива болезни Иценко–Кушинга в течение трех лет после успешного нейрохирургического лечения. Эндокринная хирургия. 2018;12(2):70-80. https://doi.org/10.14341/serg9761
For citation:
Nadezhdina E.Y., Rebrova O.Y., Ivashenko O.V., Azizyan V.N., Arapova S.D., Grigoriev A.Y. Factors affecting the probability of recurrence of the Cushing’s disease within 3 years after effective neurosurgical treatment. Endocrine Surgery. 2018;12(2):70-80. (In Russ.) https://doi.org/10.14341/serg9761
Контент доступен под лицензией Creative Commons Attribution-NonCommercial-NoDerivatives 4.0 International License (CC BY-NC-ND 4.0).




































